汽车行业每日热点:被砸车网红老太疑涉嫌套牌? 吉祥AIR首次亮相

【今日看点】
● 探秘2024年坚守大排量阵地的车型
● 揭晓新一批享税优惠新能源车,续航达1055km
● 华为“合界”商标申请,汽车圈再添新动作!
● 雷军投身汽车业,小米SU7测试进入冲刺阶段
● 广汽本田销量飙升41%,3款热车破万,型格MUGEN版即将上市
● 悦达起亚销量飙升86%,新车型Sonet出口拉动增长
● 法拉利销量微增,三款新车型即将轰动2023
● 埃塞俄比亚领跑全球,首禁燃油车引领电动革命
● 特斯拉史上最大召回,Cybertruck亦在列!点击了解详情
● 浦东机场网约车运营复苏,出行便捷再升级
● 砸车风波再起波澜,套牌疑云待揭晓
● 探秘武汉暴雪列车停运背后的紧急应对措施
● 星途充电新纪元 5分钟续航增218km,首批场站亮相
● 吉祥汽车首款造型大胆车型曝光,20万内售价引关注
● 探秘型格无限MUGEN版,3月酷炫上市,动力升级在即
● 全新迈腾白车身提前下线,势必激起市场新热潮
● 凯翼新款拾月Mate及昆仑i HD 4月震撼上市
● 腾势D9四座豪华MPV交付,尊享智能定制体验
● 探索意式豪华,全新蓝旗亚Ypsilon官图发布亮点解读
【行业风向】
探秘2024年坚守大排量阵地的车型

2024年,虽然趋势倾向于小排量和新能源车型,部分车企仍推出大排量车型。奥迪SQ7以4.0T V8发动机和116.98万的价格亮相,竞争力强;奔驰G 500典藏版继续搭载V8,保持越野特性;福特Mustang Dark Horse以V8引擎和超过57万的预期价格强调性能;雪佛兰TAHOE和GMC YUKON将推出大排量V8车型,针对特定市场需求。大排量车型仍有市场,但面临越来越严格的排放法规挑战。
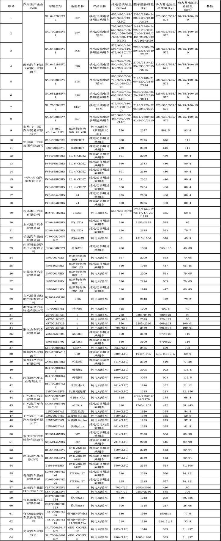
揭晓新一批享税优惠新能源车,续航达1055km

最新一批享受车船税减免优惠的新能源汽车名单发布,包括蔚来、仰望U7、海狮07 EV等多款车型。蔚来2024款车型提供多种电池组,ET5续航可达1055km。理想新款L系列车型也将增加电池容量,提升纯电续航。同时,比亚迪秦L、深蓝G318及捷途旅行者C-DM等车型也在名单中。此外,一汽-大众旗下燃油车宝来、速腾等亦获减税。
华为“合界”商标申请,汽车圈再添新动作!

华为技术有限公司近日申请注册了“合界”商标,属于运输工具类别,等待审查中。华为在汽车领域推出过多个以“界”为后缀的品牌,如与赛力斯合作的问界品牌,已有三款SUV在售,并计划在2024北京车展推出改款问界M5;与奇瑞合作的智界品牌已推出中大型纯电轿车智界S7,售价24.98-34.98万。华为还有可能与北汽、江淮推出新品牌。
雷军投身汽车业,小米SU7测试进入冲刺阶段

小米集团创始人雷军宣布,将更多精力投入到汽车业务,指派卢伟冰担任小米手机业务领导。目前,小米SU7正在进行全国路测,预计2024年上半年上市。该车型定位为纯电动中大型车,配备先进科技如自研电池、自动驾驶技术。车内配置豪华,包括7.1英寸翻转式仪表屏和16.1英寸中控屏。动力强劲,双电机版0-100km/h加速仅2.78秒。有传言称售价可能为36.14万元,但尚无官方确认。
广汽本田销量飙升41%,3款热车破万,型格MUGEN版即将上市

广汽本田1月份销量实现41%的同比增长,达到56802辆,其中雅阁、皓影和型格表现突出,三款车型月销均超万辆。型格销量特别亮眼,同比增长180.4%,累计销量突破20万辆。此外,型格?o限MUGEN版将于3月上市,该车型特有的MUGEN外观套件和专属装备使其更具吸引力,动力系统预计保持不变。
悦达起亚销量飙升86%,新车型Sonet出口拉动增长

悦达起亚公布1月销量达16323辆,同比增长86%,同时生产量同比增长241%至13300台。1月出口销售9320台,同比增长178%。新增出口车型Sonet已出口至多国。起亚EV5已开启大规模交付,其720长续航版于2月1日上市,提供增强舒适性和先进智驾技术配置,如零重力座椅和27英寸一体式三联屏。公司计划将出口市场扩增至80多个国家,年出口目标定为17万台。
法拉利销量微增,三款新车型即将轰动2023

法拉利公布了2023年销量达13663辆,同比增长3%,并已有订单覆盖至2025年产能。今年将推出三款新车,包括812继任者、全新旗舰超跑以及一款尚未透露信息的车型。812继任者将保持经典GT跑车造型,搭载6.5升V12发动机,无混动系统。旗舰超跑(代号F250)采用V6插混动力,预计超过1000马力,限量发售。首款电动车将于2025年推出。
埃塞俄比亚领跑全球,首禁燃油车引领电动革命

埃塞俄比亚交通和物流部宣布将禁止燃油车进入该国,只允许电动汽车销售,以应对高昂的石化燃料进口成本。该决策是国家长期战略的一部分,埃塞俄比亚在过去20年对可再生能源基础设施投资巨大,其中97%能源来自可再生能源。中国车企可能会借此机会在埃塞俄比亚市场扩大影响力,同时帮助国家建设电动车充电基础设施。
特斯拉史上最大召回,Cybertruck亦在列!点击了解详情

特斯拉宣布召回超200万辆车,包括Cybertruck在内的多款车型,因仪表盘警示灯字体大小不符合美国安全标准。这次召回无需车主亲自前往维修店,问题将通过OTA更新解决。长达十年的潜在风险现已被关注,特斯拉正在采取措施。
【出行动态】
浦东机场网约车运营复苏,出行便捷再升级

上海市交通委宣布,从2月4日起,将重新开放浦东机场区域的网约车服务。此举是响应市民的建议,同时要求各网约车平台加强驾驶员管理,并遵守机场交通规则。此前,一则禁止网约车在浦东机场运营的通知引起了公众关注。此次恢复服务旨在提升乘客出行体验,并满足不断增长的出行需求。其他城市如广州和北京也鼓励网约车在交通枢纽提供服务。
砸车风波再起波澜,套牌疑云待揭晓

近日,奔驰车主砸毁奇瑞车事件持续发酵,涉事奇瑞车主被疑套牌违法。网红车主的行为被网友揭露并向日照交警举报。官方已对此事展开调查,并将公布调查结果。此前,涉事奔驰车主已被行政拘留10日并罚款500元。
探秘武汉暴雪列车停运背后的紧急应对措施

受武汉暴雪影响,武铁宣布部分列车停运。武汉市气象台发布道路结冰橙色预警,积雪最深达6厘米,全市有26处结冰路段。此外,天河机场关闭双跑道,多条高速临时关闭。共54.5对列车停运,另有22对夜行高铁停运。为满足旅客需求,计划加开107列始发客车。旅客应避免前往火车站,通过官方渠道关注列车信息,并通过12306网站或App处理车票事宜。其他地区如江苏、山东也发布了暴雪预警。
星途充电新纪元 5分钟续航增218km,首批场站亮相

星途官方宣布首批充电场站在广州、上海和合肥上线,充电峰值功率近300kW,5分钟充电可增加218km续航。至2024年,计划在全国28城市建设超150个充电场站,并确保70%的高速公路里程覆盖。300家星纪元营销门店将提供充电服务,并推出充电地图及超级App,方便用户查找充电桩和支付。2023年已接入30万个公共充电桩,预计2024年将超过50万个。
【产品资讯】
吉祥汽车首款造型大胆车型曝光,20万内售价引关注

吉祥汽车旗下首款车型吉祥AIR正式亮相,预计售价约20万元。新车设计前卫,灵感来自民航客机,提供六种颜色。拥有OneBox造型、LED天空之翼大灯、悬浮式尾灯等设计特点,内饰灵感源自航空公务舱,提供高科技灯光体验和舒适座椅。车辆轴距2800mm,将采用纯电动力系统。吉祥AIR面向一二线城市家庭用户,是家庭代步的第二台车。品牌将拓展至海外市场,提供一体化智慧出行服务。
探秘型格无限MUGEN版,3月酷炫上市,动力升级在即

广汽本田将于3月推出型格?o限MUGEN版,车型升级自型格三厢版,维持1.5T发动机。新车增添?o限MUGEN专属装饰,如前扰流板和熏黑外观细节,17英寸轮圈,以及升级的排气系统。内饰配置未变,动力系统匹配CVT变速箱。现款型格三厢版1.5T售价12.99-16.69万元。
全新迈腾白车身提前下线,势必激起市场新热潮

全新一汽-大众迈腾的首台SOP白车身于1月份提前两星期下线,为其投产奠定了基础。新车采用全新设计,包括窄条幅式前格栅、运动感前保险杠和贯穿式尾灯组,尺寸为4990/1854/1487mm,轴距2871mm。搭载2.0T DTJ型发动机,最大功率162千瓦。新车的进一步信息将持续更新。
凯翼新款拾月Mate及昆仑i HD 4月震撼上市

凯翼将于4月推出新车型拾月Mate和昆仑i HD。拾月Mate是5门5座版,外观与拾月相似但尺寸加长,搭载单电机,最高时速100km/h。昆仑i HD为插电混动车,提供单双电机版本,预售价15.99-23.99万元,电动续航可达110-260公里。
腾势D9四座豪华MPV交付,尊享智能定制体验

腾势D9 PREMIER创始版四座豪华MPV在中国深圳正式交付,首发于2023年上海车展,起售价为66万元。新车特有的紫气东来车身色和双拼内饰设计,32寸智能屏及22只帝瓦雷扬声器提升豪华体验。用户可参与定制独特智慧生态和尊享功能,动力方面提供DM-i混合动力和纯电两种选项,后者CLTC续航最大620km。
探索意式豪华,全新蓝旗亚Ypsilon官图发布亮点解读

全新蓝旗亚Ypsilon官图发布,首发1906台Cassina限量版,2月14日于米兰开启预订。新车采用封闭式格栅设计和“Y”型日行灯,内饰豪华,配备SALA系统和天鹅绒座椅。动力上,纯电版续航403km,轻混版预计搭载1.2T三缸发动机与电机。新车为欧宝Corsa和标致208的姊妹车型。
汽车在线