新一期减免购置税/车船税车型名单揭晓
新车 2024年 2月 4日
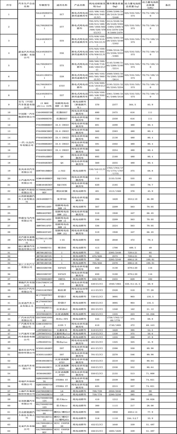
[本站 资讯]日前,《享受车船税减免优惠的节约能源 使用新能源汽车车型目录》(第五十八批)、《减免车辆购置税的新能源汽车车型目录》(第二批)正式发布,包括仰望U7、纯电动MINI、比亚迪秦L和深蓝G318等均在列。具体车型/信息请看下图:

先来看纯电动车,此次目录中蔚来全系2024款车型均在列,新车全系车型将都提供70/75/100/150kWh电池组,其中续航里程最大的新款蔚来ET5续航里程将达到1055km。另外值得关注的还有仰望U7(续航720km/800km)、海狮07 EV(550km/610km)、宝骏悦也PLUS(401km)以及纯电动MINI(452km/456km)等等。


在插电混动/增程车型当中,新款理想L7、L8、L9将增加50kWh电池,纯电续航里程分别提升至224km、221km和220km,而理想L6则提供两种电池,纯电续航分别为172km和178km。比亚迪秦L纯电续航分别为60km和90km;深蓝G318续航分别为77/138/142/146km;捷途旅行者C-DM的纯电续航为100km。而在燃油车方面则均为一汽-大众旗下车型,包括宝来、速腾、高尔夫(全景看车)和T-ROC探歌。
汽车在线